Nocheinmal eine Motornummer...

bmw-berlin
Beiträge: 18
Registriert: Sa 10. Dez 2016, 23:03

Nocheinmal eine Motornummer...

Beitrag von bmw-berlin »

Auch nach intensiver Suche bin ich nicht schlau geworden - vielleicht kann jemand mehr über meinen Motor rausfinden als ich

Ich lese da X3153400X - der VIN Decoder spuckt einen 7er raus - das mag ich nicht glauben - montiert ist ein Vergaser und Automatic-Getriebe ganz wie in der Auslieferung - Fahrgestellnummer ist aber anders (also keine Matching Numbers)...
20190428_124433.jpg
e3tom

Re: Nocheinmal eine Motornummer...

Beitrag von e3tom »

Tach ...

der Motor ist von einem E3 3.0sA, ca. Herbst '72-Frühjahr '73.

genaues Datum sagt dir das Gussdatum an der rechten Blockseite ca. mittig unterhalb der Abgaskrümmer,

sowas wie (Beispiel) (20H72), das wäre der 20.August 1972.

Die Decoder funktionieren erst ab 1974, insofern nicht überraschend, dass Unfug rauskommt ...


Gruss
Tom
Benutzeravatar
Nitro103
Beiträge: 390
Registriert: So 23. Feb 2014, 18:47

Re: Nocheinmal eine Motornummer...

Beitrag von Nitro103 »

Hallo bmw-berlin,

die Motor- bzw. Fahrgestellnummer 3154300 gehört zu einem BMW 3.0S Automatic, der zwischen 05/1971 und 09/1973 hergestellt wurde.

Gruß
Robin
bmw-berlin
Beiträge: 18
Registriert: Sa 10. Dez 2016, 23:03

Re: Nocheinmal eine Motornummer...

Beitrag von bmw-berlin »

Hallo Robin
vielen Dank für die schnelle Antwort - ist der Zahlendreher beabsichtigt? Deine Antwort nimmt Bezug auf die 3154300 auf dem Block ist die 3153400 eingeschlagen.
Gibt es neben den VIN Decoder http://bimmer.work/ noch eine andere Möglichkeit zur Eingabe?
Gruß
Thorsten
Benutzeravatar
Nitro103
Beiträge: 390
Registriert: So 23. Feb 2014, 18:47

Re: Nocheinmal eine Motornummer...

Beitrag von Nitro103 »

Hallo Thorsten,

nein keine Absicht - das war mein Fehler. Aber es ändert am Ergebnis nichts, denn die Fahrgestellnummern von 3150001 bis 3154784 sind die 3.0S Automatic aus dieser Zeit.

Falls es für Dich oder andere Forenkollegen interessant ist, sind hier sämtliche E3-Fahrgestellnummern angehängt, wo Du auch "Deine" Nummer finden kannst.
Fahrgestellnummern BMW E3_0001.jpg
Fahrgestellnummern BMW E3_0002.jpg
Fahrgestellnummern BMW E3_0003.jpg


Gruß
Robin

P.S.: Im Einzelfall kannst Du auch bei BMW Classics in München per Telefon +49 (0) 89-382-68281 oder Email info.grouparchiv@bmwgroup.com nach Fahrgestellnummern historischer BMWs fragen. Dort erhältst Du außerdem einige Details zum jeweiligen Fahrzeug wie die originale Auslieferungsfarbe, das Herstellungs- und Auslieferungsdatum, den Ort der Auslieferung und ggf. Extras wie Schiebedach (aber leider nichts zum originalen Interieur).
bmw-berlin
Beiträge: 18
Registriert: Sa 10. Dez 2016, 23:03

Re: Nocheinmal eine Motornummer...

Beitrag von bmw-berlin »

Hallo Robin - das beantwortet meine Herkunftsfrage vollumfänglich! 1000 Dank für Deine Bemühungen.

Damit hat mein '74er Auto nicht nur keine Matching Numbers, der Motor ist auch noch 1-3 Jahre zu alt. Damit heisst also meine nächste Aufgabe, die Unterschiede der Motoren herauszufinden :-)

Beste Grüße
Thorsten
bmw-berlin
Beiträge: 18
Registriert: Sa 10. Dez 2016, 23:03

Re: Nocheinmal eine Motornummer...

Beitrag von bmw-berlin »

Hi Tom - auch Dir Danke für Deine Antwort (die hatte ich irgendwie überlesen). Bin aktuell im Urlaub, werde aber nach meiner Rückkehr einml das Produktionsdatum erforscheln.
Gruß aus Lissabon
Thorsten
Benutzeravatar
Gerhard
Beiträge: 1628
Registriert: Fr 7. Feb 2014, 13:21

Re: Nocheinmal eine Motornummer...

Beitrag von Gerhard »

Hallo
Zum Thema "überlesen"
Da Tom immer als Gast schreibt, muss der Beitrag von einem Moderator per Hand freigeschaltet werden. Das kann schon mal ein paar Stunden/Tage dauern. Vor allem wenn man mitten in der Nacht schreibt:-)

Erst nach der Freischaltung ist der Gast-Beitrag dann für alle lesbar.

Gruß Gerhard
Benutzeravatar
Nitro103
Beiträge: 390
Registriert: So 23. Feb 2014, 18:47

Re: Nocheinmal eine Motornummer...

Beitrag von Nitro103 »

Hallo Thorsten,

freut mich.
Hier ist der Vollständigkeit halber noch mal eine Übersicht der Fahrgestellnummern unserer E9, die ich noch einmal überarbeitet habe. Betr. CSL wäre Gerhard der richtige Fachmann, da sich die Informationen, die ich dazu gefunden habe, teilweise widersprechen.
FIN E9.pdf
(40.87 KiB) 619-mal heruntergeladen
Gruß
Robin
m5toureg
Beiträge: 160
Registriert: Di 5. Mai 2015, 18:38

Re: Nocheinmal eine Motornummer...

Beitrag von m5toureg »

Hallo Robin.
Danke für die Liste. Aber Vergaser CSL 183x ? sind das neue Erkenntnisse ??
Sollten das nicht 169x sein ? weil sonst stimmt ja auch die Gesamtzahl von 1.265x CSL (inkl. RHD) nicht mehr ???
Gerhard weiß mehr ?

VG/Kalle ///M
Benutzeravatar
Gerhard
Beiträge: 1628
Registriert: Fr 7. Feb 2014, 13:21

Re: Nocheinmal eine Motornummer...

Beitrag von Gerhard »

Hallo Robin

Hast du diese Liste selbst erstellt?
Also bei den Rechtslenkern CSL steht bei der ersten FGNummer 2280001. Das ist falsch. Es muss 2285001 sein.
Quelle: orangene BMW Bücher.
Von den Vergaser CSL gab es meines Wissens nur 169 Stück.

Gruß Gerhard
Benutzeravatar
Maschalab
Beiträge: 378
Registriert: Do 28. Sep 2017, 10:33
Wohnort: Rottenburg am Neckar
Kontaktdaten:

Re: Nocheinmal eine Motornummer...

Beitrag von Maschalab »

Hallo allerseits,

E9driven hat eine übersichtliche VIN Liste, in der sogar alle 169 Vergaser CSL einzeln aufgeführt werden.

http://e9-driven.com/E9_Vins.asp

Viele Grüße
Uli
Benutzeravatar
Nitro103
Beiträge: 390
Registriert: So 23. Feb 2014, 18:47

Re: Nocheinmal eine Motornummer...

Beitrag von Nitro103 »

Hallo,

ich sprach ja bereits davon, dass sich die Angaben für die CSL aus den Quellen, aus denen ich die Daten zusammengetragen habe, teilweise widersprechen.

Bei den Rechtslenker-CSL müsste die erste FIN tatsächlich 228 5001 sein, da sich daraus die Stückzahl von 500 bis zur letzten FIN 228 5500 ergibt. Vermutlich war es ein Tippfehler in einer meiner Quellen.

Bei den Vergaser-CSL scheinen es tatsächlich nur 169 Einheiten gewesen zu sein, wie bei E9 driven und anderen Quellen zu lesen ist. Meine Info betr. 183 Einheiten kam von der Kopie eines Microfishe, bei der man aber bei der Auflistung der einzelnen CSL offensichtlich einen Fehler gemacht hat (siehe Anlage). Dort stimmt die Zahl 183 nicht mal, wenn man die einzelnen Stückzahlen zusammenrechnet, wie ich jetzt mal nachgerechnet habe.

@ Uli: Was hingegen bei E9driven falsch ist, sind die Angaben zu den Fahrgestellnummern von 433 0001 bis 433 0215, denn dies waren 3.0CS Automatic (und nicht 3.0CSi Automatic) mit Rechtslenkung. Vom 3.0 CSi gab es lediglich zwei Prototypen mit Automatic.

Gruß
Robin
FIN E9.pdf
(15.65 KiB) 576-mal heruntergeladen
Benutzeravatar
Nitro103
Beiträge: 390
Registriert: So 23. Feb 2014, 18:47

Re: Nocheinmal eine Motornummer...

Beitrag von Nitro103 »

Hier ist nun noch einmal eine korrigierte Version der E9 FIN.
FIN E9 - korrigiert.pdf
(40.87 KiB) 688-mal heruntergeladen
Folgende Änderungen wurden gemacht:
Die Stückzahl der Vergaser-CSL ist nun 169 (anstelle 183).
Bei den CSL mit Rechtslenkung ist die erste Nummer nun 228 5001 (anstelle 228 0001).
Benutzeravatar
Gerhard
Beiträge: 1628
Registriert: Fr 7. Feb 2014, 13:21

Re: Nocheinmal eine Motornummer...

Beitrag von Gerhard »

Hallo Robin

Und wenn du jetzt noch in der Fin E9 (1) Liste in der letzten Spalte, 4. Zeile den Vermerk "tatsächlich benutzt" durch "Auslieferung mit Städtepaket" ersetzt, sollte ein weiterer Fehler ausgelöscht sein.

Gruß Gerhard
Benutzeravatar
Nitro103
Beiträge: 390
Registriert: So 23. Feb 2014, 18:47

Re: Nocheinmal eine Motornummer...

Beitrag von Nitro103 »

Hallo Gerhard,

ich wusste ja, dass Du der richtige Fachmann in Sachen CSL bist. ;-)

Die Microfish-Datei kann ich leider nicht korigieren, da ich sie nur als PDF-Datei habe. Sie kommt aber vom Coupé-Club mit Stand 26.06.2017. Vielleicht werden diese Fehler dort einmal korrigiert.

Folgende Fehler wurden in der dritten Spalte bei den Vergaser-CSL gemacht, wodurch sich die Abweichung zu den 169 Fahrzeugen erklärt:
In der 10. Zeile sind 20 Autos zu viel aufgelistet, denn die Fahrgestellnummern müssten dort von 221 2188 bis 221 2195 sein (und nicht schon von 221 2168), so dass hier schon eine Differenz von 20 Fahrzeugen entsteht.
In der 27. Zeile wurde die FIN 221 2382 aufgeführt, obwohl sie in der darauf folgenden Zeile auch enthalten ist. Somit ist noch ein Fahrzeug zu viel gezählt.

Wenn man diese 21 überzähligen Fahrzeuge nun von den 190 aufgelisteten Fahrzeugen (und nicht 183, wie dort seltsamer Weise zu lesen ist!) abzieht, kommt man auf die korrekte Zahl von 169 Fahrzeugen.

Desweitern sind auch einige Angaben zu den Produktionszeiträumen nicht ganz korrekt. Es ist bspw. einige Male vom Produktionsende 11/75 die Rede, aber die letzten E9 wurden definitiv noch im Dezember 1975 produziert, was aus den Unterlagen von BMW Classic nachprüfbar ist.

Gruß
Robin

P.S.: Jetzt habe ich aber noch eine Frage zu den 110 CSL mit den FIN 227 5430 bis 227 5539: Bei E9 driven werden diese CSL als 3.0CSL (3153cc) "Batmobile" bezeichnet. Ist diese Angabe richtig?
Meines Wissens gab es nur 57 "Batmobile"-CSL mit den FIN von 435 5001 bis 435 5057, die den größeren Hubraum von 3153cc hatten.
m5toureg
Beiträge: 160
Registriert: Di 5. Mai 2015, 18:38

Re: Nocheinmal eine Motornummer...

Beitrag von m5toureg »

Hallo Robin.
Gerhard wird vielleicht auch noch ,eingreifen‘....?
-
Nach meinen CSL-Unterlagen sieht das wie folgt aus für den Version 3 CSL
Version 3 - 3153 ccm (Version 2 - 3003 ccm, Version 1 - 2985 ccm)
FGN 227 5430 - 227 5539 = April 1973 > Juni 1973 - 110x - 2 fins wing (2 Streben Flügel/Heckspoiler)
FGN 435 5001 - 435 5057 = April 1974 > November 1975 - 57x - 3 fins wing (3 Streben Flügel/Heckspoiler
> ab FGN 435 5017)

Factory cars only / BMW Motorsport GmbH - 1973 - 1976
FGN 227 5980 - 227 6000
davon z.B. Alexander Calders, Gr. 2 Coupé = 227 5992
Frank Stella, Millimeter Papier, Gr. 5, twin-turbo Coupé = 227 5981 - usw.
MfG
Kalle ///M
Zuletzt geändert von m5toureg am Sa 27. Jul 2019, 15:40, insgesamt 1-mal geändert.
Benutzeravatar
Gerhard
Beiträge: 1628
Registriert: Fr 7. Feb 2014, 13:21

Re: Nocheinmal eine Motornummer...

Beitrag von Gerhard »

m5toureg hat geschrieben: Do 25. Jul 2019, 11:17
Nach meinen CSL-Unterlagen sieht das wie folgt aus für den Version 3 CSL
Version 3 - 3153 ccm (Version 2 - 3003 ccm, Version 1 - 2985 ccm)
FGN 227 5430 - 227 5539 = April 1973 > Juni 1973 - 110x - 2 fins wing (2 Streben Flügel/Heckspoiler)
FGN 435 5001 - 435 5057 = April 1974 > November 1975 - 57x - 3 fins wing (3 Streben Flügel/Heckspoiler)

Kalle ///M
Hallo Kalle

Also wenn deine Version 1 alle Vergaser sein sollen, dann stimmen deine Angaben mit 2985 ccm nicht mit dem CSL Prospekt überein. Dort sind auch beim Vergaser die 3003 ccm angegeben.
Woher hast du die Baujahrszuordnung? Eventuell hast du da einen Schreib/Übertragungsfehler gemacht? Weil demach wären zwischen Juni 73 und April 74 keine CSL gebaut worden........
Die restlichen Angaben sind mir aber auch genau so bekannt wie du geschrieben hast.

Als Ergänzung ist noch erwähnenswert, dass es die 110 Vor-Facelift Batmobile nur in chamonix und polaris, die 57 Nachfacelift Batmobile dagegen wieder in "bunt" gegeben hat. Warum das so war würde mich auch interessieren.

Vieles ist durch die Homologation zu erklären.

Gruß Gerhard

PS: Als ich die Liste mit dem Hinweis " tatsächlich verwendet wurden" erstmals gelesen habe, habe ich den Ersteller direkt angeschrieben und ihm den Fehler mitgeteilt. Nachzulesen ist das alles in den orangenen Bücher. Innerhalb der 3 Liter Einspritz CSL von 2275001 - 2275429 sind die in der Spalte einzeln bezeichneten Fahrgestellnummern eindeutig den Städtepaketen zugeordnet. Aber in der schnelllebigen Internetzeit verbreiten sich "Fake News" schneller als es uns lieb ist.
Bei den Vergasern gab es niemals ein Städtepaket.
Alle rechtsgelenkten CSL wurden mit Städtepaket gebaut.
Benutzeravatar
Nitro103
Beiträge: 390
Registriert: So 23. Feb 2014, 18:47

Re: Nocheinmal eine Motornummer...

Beitrag von Nitro103 »

Gerhard hat geschrieben: Do 25. Jul 2019, 12:43 Also wenn deine Version 1 alle Vergaser sein sollen, dann stimmen deine Angaben mit 2985 ccm nicht mit dem CSL Prospekt überein. Dort sind auch beim Vergaser die 3003 ccm angegeben.
Hallo Gerhard,

die Sache scheint nicht so einfach zu sein:
Ich habe auch die Info, dass der Motor des Vergaser-CSL einen Hubraum von 2985cc hat. Und genau das, nämlich die identische Motorisierung, war meiner Meinung nach doch auch der Grund, warum sich die Vergaser-CSL mit den 3.0CS denselben Fahrgestellnummer-Bereich von 221 0001 bis 221 4006 geteilt haben. Solche gemeinsamen FG-Nummern-Bereiche zwischen den verschiedenen E9-Typen gab es ansonsten nämlich nicht.
Bei Wikipedia heißt es bspw.: "Ab August 1972 wurde die D-Jetronic-Saugrohreinspritzung auch im BMW 3.0 CSL eingesetzt. Trotz gegenüber dem BMW 3.0 CSi leicht erhöhtem Hubraum (3003 statt 2985 cm³)..." https://de.wikipedia.org/wiki/BMW_E9

Welcher Hubraum ist denn im Fahrzeugschein bei den Vergaser-CSL eingetragen?
Allerdings habe ich auch da so meine Zweifel, dass diese Angaben zwangsläufig richtig sind: Beim 3.0CSi ist im Fahrzeugschein bspw. ein Hubraum von 2966cc aufgeführt, während man sonst in der Literatur stets 2985cc liest.

Gruß
Robin
Benutzeravatar
Gerhard
Beiträge: 1628
Registriert: Fr 7. Feb 2014, 13:21

Re: Nocheinmal eine Motornummer...

Beitrag von Gerhard »

Hallo Robin

Ich hab nie geschrieben, dass die Sache einfach ist:-)

Ein Blick in die Homologation bringt wohl am ehesten Klarheit.

Dort steht, dass der Vergaser CSL 3003 ccm hat. Ich glaube auch nicht daran, dass in einem Prospekt eine Eigenschaft zugesichert wird (wie Dünnblech usw.) und dann in der Realität was anderes verkauft wurde. Vor Jahren sah ich mal ein Angebot von jemanden, der behauptet hat, sein CSL sei mit dickem Dach ausgeliefert worden, für mich eine unglaubliche Sache. Irgend wo steht auch, dass die CSL wegen dünnerem Blech am Dach nur ohne Schiebedach bestellbar waren. Irgend jemand behauptet aber, er hätte ein originales Schiebedach ab Werk an seinem CSL... Was stimmt nun ?

Dass die Vergaser CSL noch keinen eigenen Fahrgestellnummerbereich hatten würde ich der Entwicklung schulden und nicht ursächlich der identischen Motorisierung zum normalen CS-Motor.

Es bleibt schwierig.....

Gruß Gerhard

PS: Dass die CSL gegenüber den "normalen" CS keine Leistungssteigerung bekommen haben ist ja allgemein bekannt. Der leicht erhöhte Hubraum auf 3003 ccm wurde ja nur durch Übermaßkolben hergestellt. Meines Wissen erfolgte das nur, damit die CSL auch in einer Rennserie über 3 Liter Hubraum haben teilnehmen können. Der tatsächliche Hubraum unterscheidet sich außerdem leicht zu dem für die Steuerberechnung angegebenem Hubraum.
Dateianhänge
IMG_7397.jpg
IMG_7395.jpg
Bildschirmfoto 2019-07-25 um 14.49.10.png
m5toureg
Beiträge: 160
Registriert: Di 5. Mai 2015, 18:38

Re: Nocheinmal eine Motornummer...

Beitrag von m5toureg »

Hallo Gerhard, Robin.
Ja, etwas schwierig ist das Thema schon und heute bei (hier) 30 Grad im Schatten, kann es auch schon mal sein,
das man etwas was man schon mal als geklärt und in Erinnerung hatte, gerade mal nicht so eben abrufen kann.
Immer wieder auch interessant und erstaunlich, das es nach nunmehr fast 50 Jahren CSL immer noch Bereiche
gibt die nicht geklärt sind ??
Also, dann will ich mal versuchen zu einer Klärung beizutragen auf die wir uns dann vielleicht einigen können....?
-
Version 1 CSL, (mit noch Typenschild BMW CS) wie auch alle normalen CS aus der FGN-Serie,
gebaut September 1971 - Juli 1972 (169x CSL).
-
Quote (Quelle: bmwmregistry)
What engines were fitted to the 3.0 CSL?
The engine used in the first version of the 3.0 CSL was entirely unchanged from the standard 2,985-cc M30 inline-6 found in the 3.0 S/3.0 CS models. With an 89mm bore, an 80mm stroke and dual Zenith carburetors, this unit produced 180 hp (DIN) at 6,000 rpm and 192 lb/ft of torque at 3,700 rpm.
Unquote

Kann das stimmen ? Wie es aussieht schon, denn
= erst als Jochen Neerpasch zu BMW kam und am 01. Maj 1972 die BMW Motorsport GmbH gegründet war,
gab es dann das Thema der Homologation für die Saison 1973 und die Absicht mit einem 3003 ccm
Hubraum homologiertem Auto/Motor in der 3 Li Klasse fahren zu können.
Auf dem Testblatt wie oben von Gerhard eingefügt, steht da nicht oben FIA/CSI (!!) Nr. 1648 ??
Weiter unten links, neben dem Bild auf diesem Antrag steht
= Datum der Antragstellung = November 1972 ! was eigentlich heißen sollte, das zu diesem Zeitpunkt
alle Vergaser CSL schon gebaut waren.

Mir liegt auch ein Schreiben vor von BMW - München, den 11.3.1971 zu
„Angaben für die Ausstellung der Kraftfahrzeugbriefe BMW 3.0 CS Leichtbau“
= Hubraum 2966 ccm (was vermutlich wie von Gerhard oben schon geschrieben folgende Ursache hat
„Der tatsächliche Hubraum unterscheidet sich außerdem leicht zu dem für die Steuerberechnung
angegebenem Hubraum.“
Weiter unten in dem o.a. Schreiben = Fahrgestell-Nr. ab: 2 210 001 mit Schaltgetriebe (steht so und
durchgexxxxt, damals ja alles mit Schreibmaschine , xxxxxxxxxxx/autom. Getriebe).

Hab‘ ich etwas vergessen ? Ist wirklich sehr warm heute, sogar in Göteburg, also habt Nachsicht.
VG/Kalle ///M
Zuletzt geändert von m5toureg am Do 25. Jul 2019, 21:23, insgesamt 1-mal geändert.
m5toureg
Beiträge: 160
Registriert: Di 5. Mai 2015, 18:38

Re: Nocheinmal eine Motornummer...

Beitrag von m5toureg »

Gerhard hat geschrieben: Do 25. Jul 2019, 12:43 Hallo Kalle
Also wenn deine Version 1 alle Vergaser sein sollen, dann stimmen deine Angaben mit 2985 ccm nicht mit dem CSL Prospekt überein. Dort sind auch beim Vergaser die 3003 ccm angegeben.
Woher hast du die Baujahrszuordnung? Eventuell hast du da einen Schreib/Übertragungsfehler gemacht? Weil demach wären zwischen Juni 73 und April 74 keine CSL gebaut worden........
Die restlichen Angaben sind mir aber auch genau so bekannt wie du geschrieben hast.

Als Ergänzung ist noch erwähnenswert, dass es die 110 Vor-Facelift Batmobile nur in chamonix und polaris, die 57 Nachfacelift Batmobile dagegen wieder in "bunt" gegeben hat. Warum das so war würde mich auch interessieren.

Vieles ist durch die Homologation zu erklären.
Gruß Gerhard
PS:
Alle rechtsgelenkten CSL wurden mit Städtepaket gebaut.
[]
Hallo Gerhard.
Von wann ist denn der CSL-Prospekt und wie ist das da beschrieben ? Aus Erfahrung weiß man ja wie sowas bei
BMW so läuft und das da manchmal, auch in offiziellen Unterlagen, wie Prospekte, viel Unsinn erzählt wird.

Bauzeiten. Ich schau‘ gern nochmal nach, aber eigentlich ist es so, also kein Schreibfehler.
9 Monate Produktionspause, was auch wieder mit der Homologation zu tun hat.
Von den 57x Batmobile Serie II wurden 40 St. 1974 hergestellt und der Rest 17 St. dann 1975.

Version 3, Vor-Facelift Batmobile 110x, Chamonix und Polaris. Genau
= 76x Polaris-met. + 33x Chamonix + 1x Sonderlack *)
(*) es gab also auch damals schon Raum für Sonderwünsche, wenn der Einfluss oder das Geld da war oder
besser noch beides. Dies‘ KANN wiederum auch auch für andere ,Abweichungen‘ von den offiziellen
Angaben und Unterlagen gelten). Es wird also nicht einfacher....

Homologation = Vorgabe ist VERKAUFTE Fahrzeuge, nicht nur gebaute = richtig ???
Ich bin eigentlich überzeugt, nicht zuletzt auch wegen der *) Anmerkung oben, das
es auch ein paar ,echte‘ RHD CSL gegeben hat, also ohne ,Städtepaket‘.
Sogar das Batmobil Serie I konnte man mit Städtepaket bestellen und ca.die Hälfte wurden auch
mit dem Städtepaket ausgeliefert.
Es wurde eben einiges getan um schließlich 1000 Einheiten als verkauft melden zu können.

Jetzt aber bitte nicht zu sehr mit mir ,Abrechnen‘. Wie gesagt, es ist heiss hier heute und da kann
es passieren das man mal einen Fehler macht, sich falsch erinnert oder etwas falsch verstanden hat,
soll ja vorkommen.

VG/Kalle ///M
Zuletzt geändert von m5toureg am Do 25. Jul 2019, 19:51, insgesamt 6-mal geändert.
Benutzeravatar
Gerhard
Beiträge: 1628
Registriert: Fr 7. Feb 2014, 13:21

Re: Nocheinmal eine Motornummer...

Beitrag von Gerhard »

Hallo

Ich hab in meinem letzten Beitrag 2 Fotos von den CSL Prospekten ergänzt. Sowohl im deutschen, wie auch im englischen CSL Prospekt von 11/72 steht da, dass der Vergaser CSL 3003 ccm hat, hergestellt durch Übermaßkolben mit 89,25 mm.
Vielleicht sollten wir hier auch die Diskussion beenden, bevor die Rennfahrer Ihre damals gewonnenen Trophäen zurück geben müssen, weil sie in der falschen Rennklasse angetreten sind oder es zu einem Diesel ähnlichen Rückkaufs-Skandal, wegen falsch zugesicherten Eigenschaften der damaligen Vergaser-CSL Neuwagenkäufer kommt:-)

@ Kalle. Scan doch bitte mal dein BMW Schreiben ein, und lade es hier im Forum hoch. Wenn dieses Schreiben der einzige Zeitzeuge während der Bauzeit der Vergaser CSL ist, dann könnten die 2966/2985 ccm wohl korrekt sein.

Gruß Gerhard
Benutzeravatar
Nitro103
Beiträge: 390
Registriert: So 23. Feb 2014, 18:47

Re: Nocheinmal eine Motornummer...

Beitrag von Nitro103 »

Gerhard hat geschrieben: Fr 26. Jul 2019, 10:53 @ Kalle....Wenn dieses Schreiben der einzige Zeitzeuge während der Bauzeit der Vergaser CSL ist, dann könnten die 2966/2985 ccm wohl korrekt sein.
Bei Wikipedia steht ja auch: "...Ab August 1972 wurde die D-Jetronic-Saugrohreinspritzung auch im BMW 3.0 CSL eingesetzt. Trotz gegenüber dem BMW 3.0 CSi leicht erhöhtem Hubraum (3003 statt 2985 cm³) leisten diese Fahrzeuge ebenfalls 147 kW (200 PS) und erreichen 220 km/h...", was im Umkehrschluss bedeutet, dass der Hubraum zuvor 2985ccm betragen hatte. Aber diesen Beitrag hat natürlich auch nur ein Mensch geschrieben (bzw. abgeschrieben), und der könnte sich natürlich auch irren.
Benutzeravatar
Gerhard
Beiträge: 1628
Registriert: Fr 7. Feb 2014, 13:21

Re: Nocheinmal eine Motornummer...

Beitrag von Gerhard »

In Wiki steht: Trotz gegenüber dem BMW 3.0 CSi leicht erhöhtem Hubraum (3003 statt 2985 cm³) leisten diese Fahrzeuge ebenfalls 147 kW (200 PS) und erreichen 220 km/h..."

Hallo Robin

Hier muss ich deinem Umkehrschluss widersprechen. Nicht immer ist der "Schreiber" von Wiki schuld, manchmal auch der "Leser"
Eindeutig steht hier doch nur, dass beim Einspritzer CSL im Vergleich zum normalen CSi der Hubraum leicht erhöht wurde. Nicht geschrieben wurde, dass das vorher beim Vergaser auch schon so gewesen war/ oder auch nicht, oder dass diese Aussage ein Vergleich zur Vergaser-Version darstellt.

Es bleibt spannend......

Gruß Gerhard
Benutzeravatar
Nitro103
Beiträge: 390
Registriert: So 23. Feb 2014, 18:47

Re: Nocheinmal eine Motornummer...

Beitrag von Nitro103 »

Gerhard hat geschrieben: Fr 26. Jul 2019, 13:40 In Wiki steht: Trotz gegenüber dem BMW 3.0 CSi leicht erhöhtem Hubraum (3003 statt 2985 cm³) leisten diese Fahrzeuge ebenfalls 147 kW (200 PS) und erreichen 220 km/h..."
Hier muss ich deinem Umkehrschluss widersprechen. Nicht immer ist der "Schreiber" von Wiki schuld, manchmal auch der "Leser"
Eindeutig steht hier doch nur, dass beim Einspritzer CSL im Vergleich zum normalen CSi der Hubraum leicht erhöht wurde. Nicht geschrieben wurde, dass das vorher beim Vergaser auch schon so gewesen war/ oder auch nicht, oder dass diese Aussage ein Vergleich zur Vergaser-Version darstellt.
Hallo Gerhard,

ja hab ich mir auch schon gedacht. Kann man nämlich so oder so interpretieren. Das Wort "erhöht" enthält man nach meinem Verständnis aber eher die Veränderung gegenüber dem vorherigen Zustand. Sonst hätte es "höher" heißen müssen. Und daraus schlussfolgere ich, dass zuvor der Hubraum beim Vergaser-CSL nicht (auch) erhöht war gegenüber dem 3.0CS. Aber das bleibt wohl Auslegungssache.

Eine endgültige Klarheit wird wohl nur das von Kalle erwähnte BMW-Schreiben bringen. Und was Kalle zum Amtsantritt von Jochen Neerpasch und dessen Antrag auf Homologation geschrieben hat, nämlich erst, nachdem schon alle 169 Vergaser-CSL produziert worden waren, legt eben auch den Schluss nahe, dass die CSL denselben Serienmotor wie die 3.0CS bekommen haben. Darauf weist ja meiner Meinung nach auch derselbe Bereich der Fahrgestellnummern hin. Nachdem nämlich schon sämtliche 4006 3.0l-Vergaser-Exemplare nebst Chassis und eingestanzten FG-Nummern produziert worden waren, hat man sich im Nachhinein die 169 Exemplare herausgepickt, die dann zu CSL umkonfiguriert wurden.
Also jetzt mal mit Spannung auf den BMW-Brief warten, bevor jemand an seinem Vergaser-CSL den Motor ausbaut, um nachzumessen :-)

Gruß
Robin
Benutzeravatar
Gerhard
Beiträge: 1628
Registriert: Fr 7. Feb 2014, 13:21

Re: Nocheinmal eine Motornummer...

Beitrag von Gerhard »

Nitro103 hat geschrieben: Fr 26. Jul 2019, 14:07
Nachdem nämlich schon sämtliche 4006 3.0l-Vergaser-Exemplare nebst Chassis und eingestanzten FG-Nummern produziert worden waren, hat man sich im Nachhinein die 169 Exemplare herausgepickt, die dann zu CSL umkonfiguriert wurden.
Hallo Robin

Jetzt wirds abenteuerlich mit deiner Interpretation:-) Wie meinst du das mit nachträglich zum CSL umkonfiguriert? Wurden deiner Meinung nach an den fertig gebauten CS dann wieder die dicken Kotflügel und die dicke Hutablage nebst dem dicken Dach usw. wieder rausgeschnitten und durch Dünnbleche ersetzt damit er zum CSL wurde?

Ich hatte ja schon mal geschrieben, dass ich den fehlenden Fahrgestellnummernbereich der Vergaser CSL der Entwicklung geschuldet sehe. BMW hat damals einen CS zu Alpina gebracht, die an diesem den CSL entwickelt haben. Danach konnten die CSL bei BMW bestellt werden. Ganz nach Bestellung, hat man dann bei BMW eben eine CS oder eine CSL Karosserie gebaut und Scheelsitze statt Clubsessel und eine mechanische statt Servolenkung eingebaut. Das Werksfoto zeigt ja, dass die CSL zwischen ganz normalen E9 gebaut wurden. Manchmal nur einer in der Reihe, manchmal aber auch 20 Stück Stück nacheinander. Möglicherweise wurden dann baugleiche Motoren wie im CS, (was wir ja hier klären wollen) eingebaut. Aber es gab einfach noch keinen eigenen Fahrgestellnummerbereich für die Vergaser CSL.

Gruß Gerhard
Dateianhänge
Werksfoto.jpg
Benutzeravatar
Nitro103
Beiträge: 390
Registriert: So 23. Feb 2014, 18:47

Re: Nocheinmal eine Motornummer...

Beitrag von Nitro103 »

Gerhard hat geschrieben: Fr 26. Jul 2019, 15:00 Wurden deiner Meinung nach an den fertig gebauten CS dann wieder die dicken Kotflügel und die dicke Hutablage nebst dem dicken Dach usw. wieder rausgeschnitten und durch Dünnbleche ersetzt damit er zum CSL wurde?
Hallo Gerhard,

wer weiß… ;-)
Nee, das wäre offensichtlich dann doch zu viel Aufwand gewesen.

Gruß
Robin
Benutzeravatar
Maschalab
Beiträge: 378
Registriert: Do 28. Sep 2017, 10:33
Wohnort: Rottenburg am Neckar
Kontaktdaten:

Re: Nocheinmal eine Motornummer...

Beitrag von Maschalab »

Hab nun auch mal das Orangebook zu Rate gezogen und möchte meine Erkenntnisse zum Thema Hubraum teilen.

Meine Buchversion ist: Bd. I 01 09 9 760 410 1.0 XI/75 und entspricht den Teile Mikrofilm Nummer 4, Ausgabe 4/75

Dort stehen unter 11/2 zwei Motorvarianten; den normalen Motor und Motor 3001 sowie auf der rechten Seite die FG Nummern der 169 Vergaser CSL, die alle den normalen Motor haben, es sei denn sie bekamen irgenwann den AT Motor 11 00 1 258 838 ab FG Nummer 2276001, die auch immer mit Städtepaket ausgeliefert wurden.

Bild
Foto: Orange Buch Bd 1, 11/2

Seite 11/4 zeigt die Teilenummer der Einspritzer, hier gab es nur noch den Motor 3001 für die CSiL, die normalen CSi hatten den Standardeinspritzer.

Bild
Foto: Orange Buch Bd 1, 11/4

Seite 11/5 bezieht sich auf die NFL Modelle FG 43xxxxx, die CSi wieder mit Standard, die CSiL dann aber mit neuer Motorvariante "Motor 3153"

Bild
Foto: Orange Buch Bd 1, 11/5

Die Motorvarianten lassen auf geänderten Hubraum schließen, das ergibt sich aus den Katalogseiten für die Kolben.

Details dazu packe ich in die nächste Antwort.

Gruß
Uli
Zuletzt geändert von Maschalab am Mo 2. Aug 2021, 10:29, insgesamt 3-mal geändert.
Benutzeravatar
Maschalab
Beiträge: 378
Registriert: Do 28. Sep 2017, 10:33
Wohnort: Rottenburg am Neckar
Kontaktdaten:

Re: Nocheinmal eine Motornummer...

Beitrag von Maschalab »

Die Kolben:

Alle Vergaser CSL haben die standard Kolben und damit 2986 ccm Hubraum
Bild
Foto: Orange Buch Bd 1, 11/18

Die CSiL haben alle die dickeren Kolben, da ja auch die Zylinder von 89mm auf 89,25mm aufgebohrt wurden, damit ergeben sich die 3003 ccm Hubraum.
Bild
Foto: Orange Buch Bd 1, 11/20

Die 3.15L CSL haben die gleiche Bohrung wie die 3003 ccm (89,25), der größere Hubraum ergibt sich durch den verlängerten Hub (84mm)
Bild
Foto: Orange Buch Bd 1, 11/21


Und nun noch die Hubräume der Varianten:

Die Blaue Reparaturanleitung in Papierform Version vom Januar 1976 beschreibt Bohrung, Hub und Hubraum (effektiv und nach Steuerformel)

3.0 CS / CSi: 2986 ccm bei 80mm Bohrung und 89mm Hub (kein Hinweis auf 3.0 CSL Modelle)
3.0 CSL mit 3.15l Motor: 3153 ccm bei 89,25mm Bohrung und 84mm Hub

Bild
Foto: Blaues Buch Bd 1, 11-0/3

Jetzt wird's spannend da in der Fußnote die 3.0 CSL genannt werden.
die Bohrung wurde auf 89,25 vergrößert, daraus ergibt sich die Hubraumvergrößerung auf 3003 ccm.

Bild
Foto: Blaues Buch Bd 1, 11-0/11

Mehr Informationen konnte ich nicht finden, hoffe aber das ich etwas zum Thema beitragen konnte.

Viele Grüße
Uli
Zuletzt geändert von Maschalab am Mo 2. Aug 2021, 11:46, insgesamt 6-mal geändert.
m5toureg
Beiträge: 160
Registriert: Di 5. Mai 2015, 18:38

Re: Nocheinmal eine Motornummer...

Beitrag von m5toureg »

Hallo Uli.
Vielen Dank für Deine Mühe und Ausführungen mit Bildern.
Schon beim Lesen bin ich ins schwitzen 😅 gekommen, aber Danke dafür.
Seite 11/2 in der orangenen A5-E9-Bibel reicht vielleicht schon ?
d.h. Motor - Teilenummer 11 00 1 257 759 = ist identisch für 3.0 CS und 3.0 CSL.
-
Wir sind ja alle auf Quellen angewiesen. Außer der orangenen A5-E9-Bibel, gelten für mich vor allem 2 weitere
bei denen ich weiß das man dort sehr gute Kontakte zu BMW Classic und der M-GmbH hat.
Eine von den 2 ist die ,bmwmregistry‘, wo zu diesem Thema wie folgt geschrieben ist:
Quote
What engines were fitted to the 3.0 CSL?
The engine used in the first version of the 3.0 CSL was entirely unchanged from the standard 2,985-cc M30 inline-6 found in the 3.0 S/3.0 CS models. With an 89mm bore, an 80mm stroke and dual Zenith carburetors, this unit produced 180 hp (DIN) at 6,000 rpm and 192 lb/ft of torque at 3,700 rpm.

The second version of the 3.0 CSL carried over this same basic engine configuration but the bore was increased very slightly to 89.25mm (for a new overall displacement of 3,003cc) and the twin Zenith carbureotrs were replaced by an electronically-controled Bosch fuel injection system. Horsepower increased to 200 hp (DIN) at 5,500 rpm and torque increased to 204 lb/ft at 4,300 rpm. Though these were identical outputs to the standard fuel-injected 2,985-cc unit found in the 3.0 Si/3.0 CSi models, the slightly larger displacement helped better suit the requirements of the competition version.

The final version of the 3.0 CSL utilized a further enlarged version of the fuel-injected M30 powerplant with a longer 84mm stroke for a new overall displacement of 3,153cc. Peak power and torque both increased slightly to 206 hp (DIN) at 5,600 rpm and 215 lb/ft at 4,200 rpm, respectively.
Unquote

Warum ist dies‘ alles eigentlich nicht schon vor langer Zeit mal endgültig vom Coupé Club klargestellt worden ?
und was ist der aktuelle Stand beim BMW CSL Owners Club e.V. ? http://e9-forum.de/viewtopic.php?f=2&t=25852
dort müsste man doch eigentlich auf die hier diskutierten Themen knapp und konkret antworten können ??

Was ist aus meinen ,damaligen‘ Kontakten wie z.B. Yannick Bernat, Richard Conway und dem Dieter Tögel,
Ben Huisman usw. geworden. Wo sind die heutzutage unterwegs ? Da sollte die Information sein über die wir
hier noch sprechen.
Morgen geht es hier dann weiter mit Bauzeiten, Homologation, dem von Gerhard zitierten BMW CSL Verkaufsprospekt
von 11/72 (!??), Quellen Angaben für Unterlegen, link zur E9 CSL FAQ Seite der ,bmwmregistry‘, usw.

VG/Kalle ///M
Zuletzt geändert von m5toureg am Sa 27. Jul 2019, 01:09, insgesamt 3-mal geändert.
Benutzeravatar
Nitro103
Beiträge: 390
Registriert: So 23. Feb 2014, 18:47

Re: Nocheinmal eine Motornummer...

Beitrag von Nitro103 »

Hallo Uli und Kalle,

vielen Dank für Eure Mühe!
Wir erarbeiten derzeit eine neue Übersicht über die E9-Typen, FG-Nummern, Produktionszeiträume und weitere Details, damit sie der Coupé-Club zur Verfügung stellen kann. Es wurde dabei versucht, die hier angesprochenen Fehler - so weit es möglich ist - zu korrigieren.

Man muss auch beim ETK etwas aufpassen, denn auch da hat sich zuweilen der Fehlerteufel eingeschlichen. Es ist rechts auf der Seite 11/2 bspw. von einer FG-Nummer 227 6001 in Zusammenhang mit dem Städtepaket die Rede, aber diese FG-Nummer kann ich nirgendwo zuordnen, denn die CSL mit dem 3003ccm-Einspritzmotor haben den FIN-Bereich 227 5001 bis 227 5429 (429 Stück) und die Rechtslenker-CSL mit diesem Motor den FIN-Bereich 228 5001 bis 228 5500 (500 Stück).
Oder auf Seite 11/2 ist in der fünftletzten Zeile vom FIN-Bereich von 221 2495 bis 221 2461 die Rede, was natürlich keinen Sinn ergibt. Da ist bei der 221 2495 bei den letzten beiden Stellen ein Zahlendreher passiert.

@Kalle: Hättest Du noch einen Link zu der bmwregistry, wo die Angaben zu den Motoren stehen?

Gruß
Robin
Benutzeravatar
Nitro103
Beiträge: 390
Registriert: So 23. Feb 2014, 18:47

Re: Nocheinmal eine Motornummer...

Beitrag von Nitro103 »

@Kalle: Ich habe Dir eine Email geschrieben.

Gruß
Robin
m5toureg
Beiträge: 160
Registriert: Di 5. Mai 2015, 18:38

Re: Nocheinmal eine Motornummer...

Beitrag von m5toureg »

Hallo Robin.
Deine e-mail konnte ich leider noch nicht lesen.
Ansonsten ,welcome to the crazy world of BMW‘..... man könnte einiges auf die wilden 70er Jahre schieben und
auf die frühen Jahre der BMW Motorsport GmbH, aber das bei BMW manchmal die rechte Hand nicht informiert ist,
darüber was die linke Hand gerade plant, dass kam ja öfter und bis heute vor. Gerade unsere Freunde im Ausland,
in den USA usw. können das überhaupt nicht mit der Vorstellung „Ordnung muss sein im Freistaat Bayern“ einordnen.
Wie vermutlich auch bei dem von Gerhard zitierten CSL Verkaufs-Prospekt (11/72, dazu später noch mehr) gab es wohl
auch hier wieder mal einen internen ,communication break-down‘ zwischen BMW AG und BMW Motorsport GmbH.
-
Die orangene E9-CS-A5-Bibel, Band 1 + 2, ist eine beeindruckende Quelle mit Informationen ohne Ende.
ABER, wie Du ja jetzt auch wieder gemerkt hast, auch die Sonne hat schwarze Flecken.....
-
Für die FGN-Serie -227 6001- gab es wohl einen Plan bei der Auflage der Mikro-Fich und Bücher aus denen
dann nichts wurde.
FGN (WBAAB81080) 227 6001 gibt es zwar, aber erst 1986, es ist ein E30 325iX gebaut am 24.07.1986.

CSL bezogen gibt es aber tatsächlich die FGN 227 6000 (das erste Werks-Renn-Coupe).
Die FGN-Serie der Werks-Renn-Coupes ist > FGN 227 6000 und läuft, warum auch immer?, rückwärts!,
also FGN 227 6000, 227 5999, 227 5998 usw. bis 227 5981. Schon ziemlich schräge alles, aber eben auch
interessant !! ;
VG/Kalle ///M
Zuletzt geändert von m5toureg am Sa 27. Jul 2019, 23:36, insgesamt 1-mal geändert.
m5toureg
Beiträge: 160
Registriert: Di 5. Mai 2015, 18:38

Re: Nocheinmal eine Motornummer...

Beitrag von m5toureg »

Hallo Gerhard, Robin, Uli....und wen es noch interessieren mag.....

Das in einem früheren Beitrag erwähnte Schreiben/Formular von BMW - München, den 11.3.1971 zu
„Angaben für die Ausstellung der Kraftfahrzeugbriefe BMW 3.0 CS Leichtbau“ = Hubraum 2966 ccm
= war eine Beilage zum CSL Magazine 1/92 (das hat Gerhard vielleicht auch ?)

Die Typprüfung des BMW CS-Leichtbau Coupes, Schlüsselnr. 3431, erfolgte am 12. Maj 1971 in München,
mit dem gleichen Motor wie vom 3.0 CS, 2985/2966 ccm.

Bauzeit Version I 3.0 CS-Leichtbau = 24. Aug. 1971 - 29. Juni 1972. Damals, wie z.B. auch später bei der Produktion
des E34 M5/M5touring in Garching, erfolgte die Produktion dieser Fahrzeuge nicht immer in FGN-Folge. So wurde
z.B. ein Fzg mit niedriger FGN erst im März 1972 fertiggestellt.

Bauzeit Version II 3.0 CSL (erst ab jetzt gab es die offizielle Bezeichnung CSL, vorher CS-Leichtbau-Coupé,
außerdem die CSL Deko-Streifen in Schwarz, Blau und Grün).
LHD - September 1972 - März 1973 // RHD - September 1972 - Januar 1973
Jetzt hatte man es eilig für die Homologation Produktion und Verkauf zu forcieren. Deshalb durfte z.B. der
englische General-Agent keine CSI mehr verkaufen, sondern musste zusehen die 500 St. CSL unterzubringen.
Homologation wurde per 28.11.1972 beantragt.

Mit Datum 9.8.1972 gab es von BMW eine Schnell-Information Abteilung Verkaufsförderung.
Quote
Betr.: Neues Spitzenprodukt - BMW 3.0 CSL
Triebwerk und Kraftübertragung
- Hubraum 3003 ccm
- Leistung 200 PS
- Einspritzanlage System Bosch mit elektronischer Steuerung
- Sperrdifferenztial mit 25% Sperrung

Prospekte:
In den nächsten Wochen wird unsere Abteilung Produktwerbung eine Neuauflage des Prospektes
fertigstellen, die Ihnen automatisch zugehen wird.
Unquote

Wenn man dann per 11/72, wie von Gerhard zitiert und gezeigt, einen Verkaufsprospekt produziert,
mit dem man wie es scheint wieder einen Vergaser-CSL verkaufen will, dann macht das irgendwie keinen Sinn ??
-
Bauzeit Version III CSL - spielt ja für die Vergaser- und Hubraum-Frage keine Rolle mehr.
Hier war aber auch wieder Eile geboten in der Produktion, um die Homologation von 100 Fzg
für das Aerodynamik-Paket rechtzeitig zu schaffen. Daher vielleicht auch die Begrenzung auf
nur 2 Farben,wie von Gerhard angesprochen.

Alle Angaben ,ohne Gewähr‘, nach bestem Wissen und Verständnis.
Quellen:
Bayerisches Blatt, No. 2 - 2016
bmwmregistry
BMW CSL Owners Club e.V. CSL Magazine 1/92
Orange E9-CS-A5-Bibel, Band 1

VG/schönen Sommer und ,Freude am Fahren‘.
Kalle ///M
Benutzeravatar
Nitro103
Beiträge: 390
Registriert: So 23. Feb 2014, 18:47

Re: Nocheinmal eine Motornummer...

Beitrag von Nitro103 »

Hallo Kalle,

Danke für Deinen Link zu BMW registry.
Da stehen ja schon sehr wesentliche Informationen zu den CSL, bspw. auch die Sache mit den identischen Motoren der Vergaser-CSL zu den 3.0CS.

Man darf wirklich nicht immer allzu viel auf die Dinge geben, nur weil sie irgendwo schriftlich niedergeschrieben wurden. Und durch blindes Abschreiben werden dann solche Fehler von Pontius zu Pilatus über die Jahrzehnte weitergetragen.
So vermute ich, dass es alleine durch die gängige Schreibweise der Fahrgestellnummern in Tausender-Stellen – wie auch im ETK - so manche Übertragungsfehler gegeben hat, auch weil diese Schreibweise die eigentliche Aussage der siebenstelligen Nummer verschleiert, nämlich dass die ersten drei Stellen den Fahrzeugtyp und die letzten vier Stellen die Seriennummer wiedergeben.
Sehr wahrscheinlich musste man durch die Einführung der EDV in den 70er Jahren das Zahlenformat nach Tausender-Stellen wählen, und dieses wurde anschließend leider nie mehr umgeschrieben. So wird bspw. aus der FIN 226 0011 im Tausendersystem 2.260.011, und letztere Schreibweise verschleiert eben die eigentlichen Informationen dieser Nummer, nämlich dass es sich beim Fahrzeugtyp um einen Vor-Facelift-CSi mit der Seriennummer 11 handelt.

Eine weiter seltsame wie unsinnige Schreibweise von Fahrgestellnummern findet man im ETK, indem ein Fahrgestellnummer-Bereich mit einer FIN endet, deren letzte vier Stellen vier Nullen sind, z.B. 222 0000 für den 3.0CS oder 431 0000 für den 2,5CS, wie bspw. auf Seite A3 zu sehen (Überschrift: Fahrgestell-Nummernbereiche).
Eine FIN mit vier Nullen am Ende kann es logischer Weise nie gegeben haben, weil dies Seriennummer 0 bedeuten würde, was der unsinnigen Aussage „Das 0te Auto dieses Typs“ gleich käme. Als Obergrenze eines FIN-Bereiches dient diese Schreibweise genaus wenig, denn aus ihr lässt sich auch nicht das letzte produzierte Auto dieses FIN-Bereiches herleiten. Wenn hingegen - wie es wünschenswert wäre - ein FIN-Bereich vom ersten produzierten bis letzten produzierten Exemplar eines Typs angegeben wäre, könnte man sich die Anzahl produzierter Fahrzeuge dieses Typs sofort selbst ausrechnen – außer in seltenen Spezialfällen, wenn sich zwei Fahrzeugtypen denselben FIN-Bereich teilen mussten, wie bei den Vor-Facelift 3.0CS und den Vergaser-CSL.

Jetzt habe ich aber noch ein paar Fragen, damit wir unsere FG-Übersicht fertigstellen können:

1. Bei den Vor-Facelift CSL 3.2 injection "Batmobile", die in den Farben Polaris (76 Autos) und Chamonix (33 Autos) ausgeliefert wurden, gab es noch ein einziges Modell mit einer Sonderlackierung.
Kennst Du vielleicht diese Farbe, und weißt Du, welcher CSL (227 5XXX) mit dieser Farbe ausgeliefert wurde?

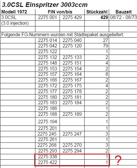
2. Betr. CSL 3.0 injection 3003ccm: Es gab ja einige Autos mit Städtepaket. Ich habe eine Übersicht mit den FIN, die damit ausgeliefert wurden, aber es gibt eine Unsicherheit betr. 2 FINs: Wurden die Fahrgestellnummern 227 5338 und 227 5422 auch mit Städtepaket ausgeliefert?

3. In Deinem Link von bmwregistry ist ja am Ende eine Farbrubrik aufgeführt, indem Bemerkungen zu verschiedenen Farben stehen. Diese Rubrik habe ich hier angehängt.
Demnach konnten die Vergaser-CSL nur in Colorado, Inka, Verona und Golf bestellt werden.
Die VFL-CSL 3.2 injection 3153ccm „Batmobile“ (FIN 227 5430 bis 227 5539) gab es ja in den Farben, wie bei meiner ersten Frage aufgeführt.

Bleiben die offene Fragen zu den wählbaren Farben der CSL 3.0 injection 3003ccm (FIN 227 5001 bis 227 5429) und NFL-CSL 3.2 injection 3153ccm „Batmobile“ (FIN 435 5001 bis 435 5057): Konnten diese Fahrzeuge in all den Farben geordert werden, die auf der Farbtabelle bei bmwregistry aufgeführt sind - natürlich unter Berücksichtigung, ob die Farbe eine Vor-Facelift (z.B. Ceylon) bzw. Nach-Facelift-Farbe (z.B. Siena) war, d.h. Vor-Facelift-Farben nur für Vor-Facelift-Fahrzeuge und analog bei Nach-Facelift?

4. Konnte man die Sonderlackierung (siehe Frage 1) auch bei den NFL-CSL 3.2 injection 3153ccm „Batmobile“ (FIN 435 5001 bis 435 5057) bestellen?

Danke und viele Grüße nach Göteborg
Robin
CSL colors.jpg
Benutzeravatar
Maschalab
Beiträge: 378
Registriert: Do 28. Sep 2017, 10:33
Wohnort: Rottenburg am Neckar
Kontaktdaten:

Re: Nocheinmal eine Motornummer...

Beitrag von Maschalab »

Hallo Robin, Kalle, Gerhard und sonstige Leser,

Das Bayerische Blatt hat eine Übersicht der Farben, sowie die Länderkontingente aufgelistet.
Auch beim Bat II gab es 6 Fahrzeige in Sonderlackierungen.

Hier der Link zu dem Artikel:

https://www.bmwcs.com/bayerisches-blatt ... nt#page/11

Viele Grüße,
Uli
m5toureg
Beiträge: 160
Registriert: Di 5. Mai 2015, 18:38

Re: Nocheinmal eine Motornummer...

Beitrag von m5toureg »

Hallo Robin, Uli.
Robin@
Auf Deine Fragen/Spekulationen betr. BMW-FGN-Serien CSL und auch generell komme ich später zurück.
Bis dahin nochmal 1) ,welcome to the crazy world of BMW‘ und 2) ,reality and facts’ sind oft mehr abenteuerlich
als die wildesten Spekulationen.....
-
Uli@
Danke. Ja, ja, die alten Schweden !! ;)
Damit sollte das Thema CSL-Farben soweit erstmal abgedeckt sein. Für eventuelle Übersetzungswünsche
aus dem schwedischen stehe ich gern zur Verfügung.

Erstmal schönen Sonntag noch (heute 2. BL mit dem HSV und F1 Hockenheim !!)
VG aus Göteburg.
Kalle ///M
Benutzeravatar
Gerhard
Beiträge: 1628
Registriert: Fr 7. Feb 2014, 13:21

Re: Nocheinmal eine Motornummer...

Beitrag von Gerhard »

Hallo

Wie Kalle schon geschrieben hat, würde eine Übersetzung vom schwedischen ins deutsche sicher viele interessieren. Einige der in diesem Artikel bereitgestellten Infos sind schlüssig, viele stammen wohl direkt aus dem BMW Archiv. Was mir fehlt ist, wer hat diese Infos woher zusammen getragen? In Deutschland steht in der Regel hinter jedem Artikel ein Autor. Dieser ist manchmal dankbar, wenn man ihm Korrekturen nachträglich übermittelt. Ähnlich geht es mir der BMWMREGISTRY? Auch da fehlt mir, wer hat diese Infos, welche da in Frage und Antwortformat stehen, geschrieben? Wo kann man nachfragen, sollten weitere Fragen auftauchen......
z.B. wurde dort geschrieben, dass die meisten Rechtslenker CSL als Städtepaket ausgeliefert wurde. Mir war bis dato bekannt, dass alle Rechtslenker CSL mit Städtepaket ausgeliefert wurden. Alle 500 Autos wurden meiner Information nach an einem Tag an den Generalimporteur für England verkauft. Sonderbestellungen waren demnach nicht möglich? Diese Autos unterschieden sich also nur durch die Farbe, nicht durch unterschiedliche Ausstattungen? Wer weiß da mehr darüber?

Gruß Gerhard
Benutzeravatar
Gerhard
Beiträge: 1628
Registriert: Fr 7. Feb 2014, 13:21

Re: Nocheinmal eine Motornummer...

Beitrag von Gerhard »

Maschalab hat geschrieben: So 28. Jul 2019, 11:33 Das Bayerische Blatt hat eine Übersicht der Farben, sowie die Länderkontingente aufgelistet.
Auch beim Bat II gab es 6 Fahrzeige in Sonderlackierungen.
Hallo Uli

Es sind vermutlich nur 5 Fahrzeuge mit Sonderlackierung ausgeliefert worden. Der 6. ist laut BMW Archiv wohl schwarz gewesen.

Was es aber mit den Sonderlackierungen Code 98 und 99 auf sich hatte, würde mich auch interessieren......

Gruß Gerhard
m5toureg
Beiträge: 160
Registriert: Di 5. Mai 2015, 18:38

Re: Nocheinmal eine Motornummer...

Beitrag von m5toureg »

Hallo E9-Freunde.
Viele, viele Fragen und auch meist interessant. Aber jetzt noch nach nunmehr fast 50 (!) Jahren ??
Die FAQ Seite in der ,bmwmregistry’ für den CSL (als erstes ///M Auto) gibt es ja nun auch schon seit mindestens
Anfang 2005 und die letzten CSL Artikel im Bayrischen Blatt sind inzwischen auch schon wieder über 2 Jahre alt.

Eigentlich fühle ich mich gar nicht mehr ,zuständig‘. Seit 1999 arbeite ich an einem
,Globalen BMW E34 M5touring Register‘.
Dabei sind die Quellen oft ähnlich und es ist immer wieder erstaunlich wie viele Besitzer eines E34 M5touring (Gesamt-
Produktion 891 Stueck) auch einen E9 Coupé in ihrem Besitz noch haben oder hatten. Auch kenne ich leider zur genüge
die Aussage von BMW Offiziellen = „gibt es nicht, gab es nie, haben wir nicht, können wir nicht, wollen wir nicht“.

Man ist also auf Einzelkämpfer, furchtlose und Enthusiasten angewiesen, wobei man sich auf alle möglichen und auch
unmöglichen Karaktäre einstellen und damit umgehen muss. Gerhard hat sicher schon einen Verdacht von woher
der Großteil der CSL Informationen ‚eigentlich‘ kommt. ;)

Gerhard@
Du hast sicher auch schon gemerkt, bei Dir ist weit mehr „Ordnung muss sein“ gefordert und geboten als anderweitig.
Schön wenn das bei BMW auch so wäre. Anstatt auf Fragen nach historischen Daten antworten zu können,
hat man keine Zeit/Personal, kein Interesse oder muss eingestehen das die dazu benötigten Unterlagen
leider ,entsorgt‘ wurden.

Quelle - bmwmregistry -
Ich habe seit Jahren einen sehr guten persönlichen Kontakt und eine gute Zusammenarbeit.
Allerdings hat der Umfang dort durch die Schwemme der vielen neuen ///M Fahrzeuge soweit zugenommen,
dass es nicht mehr so sicher ist ob der Alex auf alle eventuellen Anfragen zeitnah antworten kann.
Deshalb sind die FAQ Seiten ja auch wie ein Frage- und Antwortspiel aufgebaut.
Die dort angegeben Produktionszeiträume für den CSL sind SO n.m.M. wohl nicht in allen Teilen 100% korrekt.
Vielleicht schreibe ich ihm dazu noch mal.

Was die 500 RHD CSL betrifft finde ich die Aussage korrekt. Mal sehen ob ich einen echten RHD-Leichtbau-
CSL für Dich finden kann*). Ansonsten wurde der ,deal‘ zwischen Jochen Neerpasch und dem General-Agenten
für das U.K. bereits im Sommer 1972 gemacht. Gebaut wurden die Fzg aber erst von Sept. 1972 bis Jan. 1973.
„Einheitlich, nach Wünschen des Importeurs“. Ich bin überzeugt, dass es auch Sonderwünsche gab.
*) Bei der Suche habe ich diese mit interessantem Artikel gefunden.
https://www.tradeuniquecars.com.au/feat ... ile-review
https://www.tradeuniquecars.com.au/feat ... 73)-review

Quelle - Bayerisches Blatt
Wie auch bei einem ‚normalen‘ Magazin gibt es hier einen verantwortlichen Redakteur mit Kontaktangaben
zur Redaktion, wie Telefonnummer und e-Mail-Adresse.
Auch Text: wie Foto: ist angegeben. Der Text-Verfasser sowie sein Inka Vergaser CSL sind gute Bekannte seit vielen Jahren
und !!! ,surprise‘ = erst ist auch Besitzer und Fahrer eines E34 M5touring. Manchmal ist die Welt eben doch klein ;);)

Das Colombia CSL Batmobile - 4355 025 - Golf (70)
https://www.bmwclasicos.com/magazine/archivos/1847

VG/ Kalle ///M
Zuletzt geändert von m5toureg am Mo 29. Jul 2019, 10:59, insgesamt 5-mal geändert.
m5toureg
Beiträge: 160
Registriert: Di 5. Mai 2015, 18:38

Re: Nocheinmal eine Motornummer...

Beitrag von m5toureg »

Gerhard hat geschrieben: So 28. Jul 2019, 13:49
Maschalab hat geschrieben: So 28. Jul 2019, 11:33 Das Bayerische Blatt hat eine Übersicht der Farben, sowie die Länderkontingente aufgelistet.
Auch beim Bat II gab es 6 Fahrzeige in Sonderlackierungen.
Hallo Uli
Es sind vermutlich nur 5 Fahrzeuge mit Sonderlackierung ausgeliefert worden. Der 6. ist laut BMW Archiv wohl schwarz gewesen.
Was es aber mit den Sonderlackierungen Code 98 und 99 auf sich hatte, würde mich auch interessieren......
Gruß Gerhard
-
Hallo Gerhard, Uli.
Also Code 98 sollte = Klarlack, Glanz und Code 99 = Klarlack, matt sein ??
Weil, wenn man das Auto kauft um daraus ein Renn-Coupé zu machen, macht eine Werks-Lackierung wenig Sinn.
Das geht natürlich nur wenn das Auto noch nicht fertig ist, also nicht so oft....;)

SL-Sonderlack
= sollte immer dann aktuell sein wenn die gewünschte Farbe für die aktuelle FGN Serie nicht vvorgesehen ist.
Hier steht aber ,Client Request‘/Sonderwunsch = was ja noch mehr als nur die Farbe beinhalten kann.
FGN 4355 001 > 4355 057 - Sonderwunsch 6x, 2 von diesen Schwarz (086), einer davon 4355 042,
also dieser: https://bmwmregistry.com/detail.php?id=7862

VG/Kalle ///M
m5toureg
Beiträge: 160
Registriert: Di 5. Mai 2015, 18:38

Re: Nocheinmal eine Motornummer...

Beitrag von m5toureg »

Hallo Robin.

Wenn Du schreibst, „wir erarbeiten derzeit.....damit der Coupé-Club“ usw., heißt dann also Du machst ,research‘
für den BMW Coupé Club ?? Das finde ich generell ja gut. Inzwischen bin ich mal auf der Web-Seite des Coupé Clubs
ein wenig rumgesurft. Obwohl ich immer großen Respekt für die investierte Zeit und Arbeit habe, bin ich aber
auch etwas enttäuscht. Ich finde der übliche Respekt zu BMW und der Datenschutzverordnung wird etwas übertrieben.
N.m.M. könnte man da viel lockerer vorgehen. u.a. vermisse ich ein offenes weltweites CSL Register.
In dem Datenblatt für den Vergaser ‚Ur-CS-Leichtbau‘ steht immer noch die Stückzahl 165 (??), warum ?
-
Jetzt weiter zu Deinem Beitrag vom 27. Juli.
Deiner Auslegung über die Schreibweise der FGN und wie man eine FGN Serie n.d.M. aufstellen sollte, kann ich
soweit folgen. Nur wir müssen eben damit leben wie es ist. Beim E9 wurde ja Deinem Wunsch entsprochen und
alle FGN Serien fangen mit XXX 0001 an.
Ausnahme eben die schon von mir erwähnte FGN Serie für die BMW E9 CSL Werks-Renn-Coupes.
„ Die FGN-Serie der Werks-Renn-Coupes ist > FGN 227 6000 und läuft, warum auch immer?, rückwärts!,
also FGN 227 6000, 227 5999, 227 5998 usw. bis 227 5981.“
FGN 227 6000 ist also das zuerst gebaute Renn-Coupé und 227 5981 das letzte.
Deiner Theorie entspricht vermutlich das man lange Zeit von 19 Werks-Renn-Coupes gesprochen hat
und nicht wie richtig = 20.

Die Frage „der wieviele gebaute ist denn mein Auto??“, kenne ich leider zur genüge von meiner Arbeit
mit dem E34 M5touring Register. Bedauerlicherweise hat z.B. BMW Classic in einigen Fällen schriftlich
auf solche Fragen geantwortet und damit leider nicht korrekte Information verbreitet.

Die Fertigung des E34 M5touring in den heiligen Hallen von Garching erfolgte ähnlich wie auch die
Fertigung zumindest des Vergaser CS-Leichtbau Coupes, aus diversen Gründen, NICHT in FGN Folge/Ordnung.
(Beim E34 M5touring kommt außerdem noch dazu 1) die erste FGN der Baureihe ist BL01000 (!!!!) und es
gibt 944 FGN aber nur 891 gebaute Fahrzeuge, jeweils beim Modeljahr-Wechsel wurden einige FGN nicht genutzt.)
Eine Frage „der wievielte gebaute ist denn mein Auto?“, macht da wenig Sinn und man sollte mit der FGN und
eventuell noch dem Fertigstellungsdatum und der Freude eines dieser seltenen Fahrzeuge zu besitzen, zufrieden sein.

Jetzt noch zu Deinen Fragen mit den CSL-Farben.
1. VFL-Bat, Polaris 76x, Chamonix 33x und ein Sonderwunsch (client request) = (99) ist eine Grundfarbe
(Klarlack, matt), also wurde das Auto ohne Farbe ausgeliefert, vielleicht für den Bau eines Renn-Coupes ?
Welcher es war/ist (227 5XXX) ist mir leider nicht bekannt.

2. Serie 2 CSL 227 5001 - 227 5429 Städtepaket.
Deine Übersicht mit den FGN Städtepaket interessiert mich. Kannst Du mir die per e-mail schicken ??
Leider habe ich keine Antwort auf Deine Frage, aber es sollte jemand geben (BMW Classic ?) der die Information hat.
Auch beim Batmobile, Serie 1, sind die Fahrzeuge mit Städtepaket bekannt (mir leider nicht),
allerdings nur bis FGN 227 5294, danach wurde entweder nicht mehr dokumentiert oder zu voreilig entsorgt ??

3. diese Frage hat sich inzwischen erledigt ? siehe Farbtabelle Bayerisches Blatt Nr. 2, 2016.

4. das ist kein Sonderlack/Farbe, sondern eine Grundfarbe, 98 Klarlack, glanz - 99 Klarlack, matt.
siehe auch Frage 1 -

So, war‘s das ?? Ich glaube schon.
Hier (Göteburg) ist weiterhin Hitzewelle, heute wieder 31 Grad. Jetzt erstmal ein kaltes...........
Schönen Sommer und viel ,Freude am Fahren‘.
VG/ Kalle ///M
Benutzeravatar
Nitro103
Beiträge: 390
Registriert: So 23. Feb 2014, 18:47

Re: Nocheinmal eine Motornummer...

Beitrag von Nitro103 »

Hallo Kalle,

Danke für Deine Info!

Ganz so eine „lone rider“-Nummer ist meine research für den BMW Coupé-Club ja nicht, denn es sind ja viele helfende Hände dabei, die mich mit Informationen unterstützen, wie man hier auch in diesem Thread sieht.
Den Ausgang hatte ja eigentlich nur, dass der TE eine Frage zu einer E3-Fahrgestellnummer hatte, worauf ich ihm mit einer Liste mit E3-Fahrgestellnummern geantwortet habe. Und dann kam mir der Gedanke, auch gleich eine E9-Liste hinterherzuschicken. Darauf hatten Deine, Gerhards und Ulis Anmerkungen und Einwände dazu diesen Thread erst ins Rollen gebracht und mich dazu veranlasst, nun einmal eine korrekte Übersicht anzufertigen, da die bisherige Liste zu viele Fehler enthält.
„Respekt“ zur Datenschutzverordnung im Sinne von Beachtung ist schon angebracht, damit unser Coupé-Club inkl. Präsident demnähx keine Schwierigkeiten deswegen bekommt. ;-)

Dass BMW nicht allzu große Initiative zur Veröffentlichung von „Standardwerken“ zum Thema Oldtimer zeigt, wird wohl dem Umstand geschuldet sein, dass es nur Kapazitäten binden und Geld kosten würde, ohne damit einen Umsatz erzielen zu können. Zumindest aber ist man bei BMW Classic hilfsbereit, wenn man um Informationen bittet, sofern diese dort vorliegen.

Bei der Systematik der FG-Nummern E9 muss ich meine Aussage etwas relativieren, dass nämlich immer die ersten drei Stellen den Typ und die hinteren vier Stellen die Seriennummer anzeigen. Gerhard war so nett und hatte mich darauf hingewiesen: Beim 2800 CS für die USA sind die ersten drei Stellen der FIN identisch wie bei den 3.0CSL mit Einspritzmotor 3003ccm und 3153ccm, nämlich 227. Hier kann man den Typ erst mit der vierten Stelle unterscheiden, nämlich 2270 für die 2800CS und 2275 für die CSL.
Insofern müsste es also heißen, dass die vorderen (drei oder vier) Stellen den Typ und die hinteren Stellen die Seriennummer anzeigen.

Bei den E9 zeigen die Seriennummern auch nicht mathematisch genau die Fertigstellungssequenz an. Es konnte also durchaus sein, dass bspw. ein Fahrzeug (z.B. 2800CS) mit einer kleineren FIN (z.B. 220 1234) offiziell ein späteres Herstellungsdatum als ein Fahrzeug mit der höheren FIN (z.B. 220 1236) hatte. Das konnte in dem Beispiel dann der Fall gewesen sein, wenn in den 220 1234 alle möglichen Extras eingebaut werden mussten, während für den 220 1236 nur eine reine Serienausstattung gewünscht worden war, so dass das Auto schneller fertig war. Solche Unterschiede betrugen aber höchstens nur wenige Tage, so dass man mit Hilfe der Seriennummer schon so ungefähre Aussagen zu Herstellungsreihenfolge und -zeitraum treffen konnte.

Wie die Bezeichnung „Seriennummer“ andeutet, geht es hier um die Serie(nfertigung), d.h. die Rennversionen mit 227 6000 und deren Rückwärtsnummerierung betrachte ich hier als Ausnahme von der Regel.

Die Seriennummern der 2. Serie CSL (FIN 2275 001 – 2275 429), die mit Städtepaket ausgeliefert wurden, wird ja u.a. gerade überarbeitet. Ich habe einerseits auch die Info, dass der letzte CSL mit Städtepaket die FIN 2275 294 hatte; andererseits sind aber in einer alten Liste des Coupé-Clubs hinter der FIN 2275 294 noch zwei weitere FIN aufgeführt, nämlich 2275 338 und 2275 422 (siehe beigefügte Tabelle).

Viele Grüße
Robin
CSL 2. Serie mit Städtepaket.jpg
m5toureg
Beiträge: 160
Registriert: Di 5. Mai 2015, 18:38

Re: Nocheinmal eine Motornummer...

Beitrag von m5toureg »

Hallo Robin.
Danke für Deine Antwort und die Angaben. Viel Spaß dann mit der weiteren Arbeit mit den Fakten und der
Coupé Club Web-Seite. Selbstverständlich ist Respekt immer angebracht und an die Regeln sollte man sich
auch immer halten, nur - man sollte es nicht übertreiben.

z.B. bei einem offenen CSL Register bekommt man dann Kontakt mit den Fahrzeugbesitzern direkt und damit oft auch
an interessante Informationen die man sonst nicht bekommt. Außerdem FGN, Farben, Ausstattung usw. usw.
Vieles muss dann ja nicht öffentlich werden und kann bei dem Register-Führer in der Fahrzeugakte verbleiben.

Das ,m5portal‘ ist leider im Moment aus technischen Gründen ‚off-line‘.
Hier aber mal ein anderes Beispiel für ein excellent geführtes Fahrzeugregister:
https://www.alpina-archive.com

VG/Kalle ///M
Zuletzt geändert von m5toureg am Di 30. Jul 2019, 15:08, insgesamt 1-mal geändert.
m5toureg
Beiträge: 160
Registriert: Di 5. Mai 2015, 18:38

Re: Nocheinmal eine Motornummer...

Beitrag von m5toureg »

Hallo Gerhard.
Weiter geht‘s mit der Frage, kann es vielleicht sein das es auf Kunden-Sonderwunsch doch ein paar CSL gab
mit normaler Dachaussenhaut und Schiebedach >>>>> oder lieber nicht ?????
-
https://www.e9coupe.com/forum/threads/7 ... 47&slide=2
-
VG/Kalle ///M
Benutzeravatar
Gerhard
Beiträge: 1628
Registriert: Fr 7. Feb 2014, 13:21

Re: Nocheinmal eine Motornummer...

Beitrag von Gerhard »

Hallo Kalle

Willst du mich nun testen, ob ich lesen kann? :-) In deinem Link steht in der Bestell-Liste der lieferbaren Extras für die CSL zumindest mal kein Schiebedach. Weiterhin steht dort in einem extra Satz, dass aus technischen Gründen kein Schiebedach lieferbar ist. Aber es gibt ja sogar ein CSL Cabrio, und mindest einen CSL mit nachgerüstetem? Schiebedach. Von daher wünsche ich auch dich, in der Crazy Wold BMW für willkommen.......
Überzeugen, dass ein CSL ab Werk mit Schiebedach gebaut wurde, würde mich z.B. die Neuwagen-Bestellung, der Kaufvertrag bzw. der Laufzettel unter dem Sitz. Nur nach welcher Nummer sollten wir da suchen, da das Schiebedach ja eigentlich nicht lieferbar war?
Mit Sicherheit gibt es auch diverse Umbauten bei den rechtsgelenkten Städtepaketen zu "echten" leichten. Mir sind auch mehrere Umbauten auf Linkslenkung bekannt. Bewerten möchte ich diese Umbauen alle nicht. Als Nachweis, dass es doch ein paar rechtsgelenkte "echte" leichte CSL gab, könnte z.B. der originale erste Kfz-Brief liefern. Abweichende Daten ob mit oder ohne Städtepakete wie z.B. Länge und Gewicht lassen sich zumindest im originalen Brief nicht mehr ändern.

Deine Frage nach meinem Ordnungssinn: Ja, ich bin ein ordentlicher Mensch. Alle die schon mal bei mir zu Hause waren, können das sicher bestätigen:-)
Viel wichtiger ist mir jedoch, dass in meinem Forum nichts falsches steht. Ich freue mich, dass durch diese Diskussion wohl zu mehr als 99 prozentiger Sicherheit geklärt wurde, dass der Vergaser CSl keine Übermaßkolben ab Werk verbaut hatte.

Gruß Gerhard
m5toureg
Beiträge: 160
Registriert: Di 5. Mai 2015, 18:38

Re: Nocheinmal eine Motornummer...

Beitrag von m5toureg »

Hallo Gerhard.
Ja, testen vielleicht schon ;) aber mit dem lesen können eher weniger.
Ich habe den allergrößten Respekt für die Grundlagen die Du in diesem Forum geschaffen hast und wie Du mit
der breiten Materie um das E9 Coupé und der Vielfalt der Beiträge und Meinungen umgehst. Respekt auch für
Deine Erfahrung und den Detail-Kenntnissen um unser gemeinsames Interesse.

Es würde mich freuen wenn unser Austausch hier im Thema von Fakten und Eindrücken dazu beiträgt, auch
den Publikationen und Prospekten der BMW AG mit der auch sonst gezeigten gesunden Skepsis zu begegnen.
Papier ist geduldig und Menschen machen Fehler und Organisationen sowieso.

Was bei teuren, schwer zu verkaufenden Fahrzeugen der BMW AG alles möglich sein kann wurde hier nur angedeutet.
Bei jüngeren Modellen (88-95) ist das in vielen Fällen dokumentiert mit Spielraum für weitere Spekulationen.
Leider wurden auch hier, wie beim E9/CSL, viele Unterlagen, Kundenaufträge, Bauanweisungen usw. usw.
vorzeitig ,entsorgt‘. Das erschwert Nachweise aber steigert den Mythos (we‘ dem der schlimmes dabei denkt).

Etwas nachzuweisen was es niemals gegeben hat und absolut nicht möglich war, ist kaum zu schaffen.
Wer aber etwas behauptet und vorzeigt der bleibt den Nachweis schuldig. Gemacht wurde mit diesen Autos/CSL
vieles und von vielen, offiziellen Veredlern, Händlern usw. usw. Einiges davon hätte man wohl mit dem Wissen
von heute nie gemacht (es gibt ein CSL Cabrio ? tatsächlich ???).
Wenn zu dem jeweiligen Fahrzeug die entsprechen Unterlagen fehlen und auch bei BMW keine Information
vorhanden sind, dann verbleiben noch ,Zeitzeugen‘, jemand der dabei war.
Vom Kundenwunsch, Bestellung, Bauauftrag, Fertigung, Abrechnung, Auslieferung, Händler, Verkäufer sind
so viele Mitarbeiter, Familie, Bekannte innerhalb und außerhalb von BMW/Karmann in diesen Prozess ,eingebettet‘,
dass man in fast 50 Jahren schon eine reelle Chance gehabt hat jemand zu finden der zu einem Nachweis Beihilfe
leisten kann und eventuell selbst Unterlagen, Bilder gespart hat.
Die Möglichkeit (CSL-Schiebedach, allerdings mit ,normaler‘ Dachaussenhaut und Wanne) habe ich lange Zeit
in Erwägung gezogen, inzwischen bin ich aber den Zweiflern beigetreten.

Zum Abschluss eine kleine Anekdote.
Damals (1965 - 1976+) war mein Vater tätig bei der BMW NL in Hamburg und war dort als Sachverständiger u.a.
auch damit beschäftigt die ankommenden Lieferungen der Neuwagen zu kontrollieren. Dazu gehörten auch die
von Karmann gelieferten E9 Coupes. Ich kann mich noch gut an seine mehrfache Aussage erinnern, das bei ca. der
Hälfte der ankommenden E9 Coupes die Annahme verweigert und an Karmann zurück geschickt wurden.Der Grund,
Qualitätsmängel an Montage, Spaltmasse usw. Ich würde ihn heute gern fragen ob er damals bei der Lieferung
jemals einen E9 CSL mit Schiebedach gesehen hat, leider (r.i.p. Fritz) kann ich ihn nicht mehr dazu fragen.

Also, leichter wird das mit dem ,Nachweis‘ nicht wenn man es bisher noch nicht geschafft hat ;);)
In diesem Sinne, viel Spaß an Euren Autos und ,Freude am Fahren‘.
VG/Kalle ///M
Antworten